الصباغ الأصفر 97
Pigment Yellow 97 is a bright, durable yellow pigment commonly used in coatings, inks, plastics, and paints. Known for its excellent lightfastness, weather resistance, and non-toxic properties, it offers vibrant color with high opacity. This pigment provides superior color strength and is often chosen for applications requiring consistent, high-quality yellow hues. It’s widely used in industrial sectors such as automotive, textiles, and packaging, offering a reliable and long-lasting color solution. Pigment Yellow 97 is valued for its versatility, environmental safety, and ability to maintain color integrity even under harsh conditions.
| المرادفات | سيبيغمنت أصفر 97؛ سيبي97؛ PY97؛ PY97 |
| رقم سي.آي | 11767 |
| CAS رقم | 12225-18-2 |
| رقم الاتحاد الأوروبي | 235-427-3 |
| الصيغة الجزيئية | C26H27CINN4O8S |
| الأسرة الكيميائية | مونو آزو |
| اللون | ![]() |
| توزيع هوى |
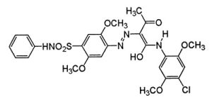
التركيب الجزيئي:

الصباغ الأصفر 97 الخصائص الفيزيائية والكيميائية والثبات
| الوزن الجزيئي الغرامي | 591.08 |
| قيمه الحامضيه | 7.5 |
| كثافة | 1.5 |
| امتصاص النفط (مل / 100 غرام) ٪ | 45 |
| ثبات الضوء | 7 |
| مقاوم للحرارة | 200 (درجة مئوية) |
| مقاوم المياه | 5 |
| مقاومة الزيت | 4 |
| حمض مقاومة | 5 |
| القلويات المقاومة | 5 |
تطبيق
يستخدم Pigment Yellow 97 في العديد من الصناعات بسبب لونه الأصفر النابض بالحياة. تتضمن بعض التطبيقات الشائعة ما يلي:
الدهانات والطلاءات: يستخدم الصباغ الأصفر 97 في تركيب الدهانات والطلاءات لأغراض الديكور والحماية. يمكن دمجه في الدهانات ذات الأساس المائي أو المذيب لتوفير لون أصفر.
أحبار الطباعة: يتم استخدام الصباغ في إنتاج أحبار الطباعة الصفراء لتطبيقات مثل التغليف والمطبوعات والمواد المطبوعة الأخرى.
البلاستيك: غالبًا ما يُستخدم الصباغ الأصفر 97 في تلوين المواد البلاستيكية، بما في ذلك PVC (كلوريد البولي فينيل)، والبولي أوليفينات، ومواد البوليمر الأخرى. إنه يضفي لونًا أصفر متينًا ومستقرًا على المنتجات البلاستيكية.
المنسوجات: في صناعة النسيج، يمكن استخدام هذا الصباغ لصبغ الأقمشة، مما يوفر اللون الأصفر للمنسوجات والملابس.
أحبار نفث الحبر: يمكن استخدام Pigment Yellow 97 في تركيب أحبار نفث الحبر لطباعة الصور والنصوص على ركائز مختلفة.
ألوان الفنان: يمكن للفنانين ومصنعي اللوازم الفنية استخدام Pigment Yellow 97 في إنتاج الدهانات الزيتية والأكريليك والألوان المائية وغيرها من الوسائط الفنية.
تطبيقات أخرى: يمكن أيضًا استخدام الصبغة في مجموعة متنوعة من التطبيقات الأخرى حيث يكون اللون الأصفر ثابتًا ونابضًا بالحياة، كما هو الحال في تلوين مستحضرات التجميل والمنتجات المطاطية والطلاءات المتخصصة.
معلومات ذات صله
Pigment Yellow 97 is a hydroxyl-containing polycarboxylic acid that is used in the production of paints and plastics. It has an oxidation potential of +0.6 volts, which indicates that it is reactive. Pigment Yellow 97 has an absorption maximum at 526 nm and a molecular weight of 317.09 g/mol. The chemical structure of Pigment Yellow 97 consists of a molecule with a reactive carboxyl group and a reactive hydroxyl group, as well as an intramolecular hydrogen bond between the two groups. This pigment also forms coordination complexes with metals such as iron oxides to form particle pigments or mixtures with glycol esters to form solid particles or dispersions, respectively.
الأسماء والمعرفات
اسم الاتحاد الدولي للكيمياء البحتة والتطبيقية: N-(4-كلورو-2,5-ديميثوكسيفينيل)-2-[[2,5-ديميثوكسي-4-(فينيل سلفامويل)فينيل]ديازينيل]-3-أوكسوبوتاناميد
InChI=1S/C26H27ClN4O8S/c1-15(32)25(26(33)28-18-12-20(36-2)17(27)11-21(18)37-3)30-29-19- 13-23(39-5)24(14-22(19)38-4)40(34,35)31-16-9-7-6-8-10-16/h6-14,25,31H, 1-5H3، (ح،28،33)
إنتشيكي: WNWZKKBGFYKSGA-UHFFFAOYSA-N
الابتسامات الأساسية: CC(=O)C(C(=O)NC1=CC(=C(C=C1OC)Cl)OC)N=NC2=CC(=C(C=C2OC)S(=O)(= O)NC3=CC=CC=C3)OC
الخصائص المحسوبة
| اسم الخاصية | قيمة العقار |
| الوزن الجزيئي الغرامي | 591.0 g/mol |
| إكسلوجP3-AA | 4.6 |
| عدد المانحين لسندات الهيدروجين | 2 |
| عدد متقبل السندات الهيدروجينية | 11 |
| عدد السندات القابلة للتدوير | 12 |
| الكتلة الدقيقة | 590.1238127 Da |
| كتلة أحادية النظائر | 590.1238127 Da |
| المساحة السطحية القطبية الطوبولوجية | 162 Ų |
| عدد الذرات الثقيلة | 40 |
| اتهام رسمي | 0 |
| تعقيد | 974 |
| عدد ذرات النظائر | 0 |
| تعريف Atom Stereocenter العد | 0 |
| عدد غير محدد من Atom Stereocenter | 1 |
| عدد مركز مجسم السندات المحدد | 0 |
| عدد مركز ستيريو السندات غير المحدد | 0 |
| عدد الوحدات المرتبطة تساهمياً | 1 |
| المجمع هو Canonicalized | نعم |











